0
SN74AHC157-Q1
  • SN74AHC157-Q1
  • SN74AHC157-Q1
  • SN74AHC157-Q1

SN74AHC157-Q1

ACTIVE

Automotive quadruple 2-line to 1-line data selector/multiplexer

Texas Instruments SN74AHC157-Q1 Product Info

1 April 2026 1

Parameters

Technology family

AHC

Function

Digital Multiplexer

Configuration

2:1

Number of channels

4

Operating temperature range (°C)

-40 to 125

Rating

Automotive

Package

TSSOP (PW)-16-32 mm² 5 x 6.4

Features

  • AEC-Q100 qualified for automotive applications:
    • Device temperature grade 1: -40°C to +125°C
    • Device HBM ESD classification level 2
    • Device CDM ESD classification level C4B
  • Available in wettable flank QFN package
  • Operating range 2V to 5.5V VCC
  • Low delay, 12ns (VCC = 5V, CL = 50pF
  • Latch-up performance exceeds 250mAper JESD 17
  • AEC-Q100 qualified for automotive applications:
    • Device temperature grade 1: -40°C to +125°C
    • Device HBM ESD classification level 2
    • Device CDM ESD classification level C4B
  • Available in wettable flank QFN package
  • Operating range 2V to 5.5V VCC
  • Low delay, 12ns (VCC = 5V, CL = 50pF
  • Latch-up performance exceeds 250mAper JESD 17

Description

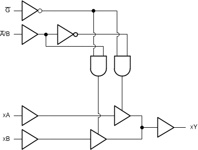
The SN74AHC157-Q1 is a quadruple 2-line to 1-line data selectors/multiplexers are designed for 2-V to 5.5-V VCC operation. The SN74AHC157-Q1 devices feature a common strobe (G) input. When the strobe is high, all outputs are low. When the strobe is low, a 4-bit word is selected from one of two sources and is routed to the four outputs. The device provides true data.

The SN74AHC157-Q1 is a quadruple 2-line to 1-line data selectors/multiplexers are designed for 2-V to 5.5-V VCC operation. The SN74AHC157-Q1 devices feature a common strobe (G) input. When the strobe is high, all outputs are low. When the strobe is low, a 4-bit word is selected from one of two sources and is routed to the four outputs. The device provides true data.

Subscribe to Welllinkchips !
Your Name
* Email
Submit a request