0
TMUX1308A
  • TMUX1308A
  • TMUX1308A
  • TMUX1308A
  • TMUX1308A
  • TMUX1308A
  • TMUX1308A
  • TMUX1308A

TMUX1308A

ACTIVE

5V, bidirectional 8:1, 1-channel multiplexer with injection current control & 1.8V logic

Texas Instruments TMUX1308A Product Info

1 April 2026 1

Parameters

Configuration

8:1

Number of channels

1

Power supply voltage - single (V)

1.8, 2.5, 3.3, 5

Protocols

Analog

Ron (typ) (Ω)

59

CON (typ) (pF)

9

ON-state leakage current (max) (µA)

0.8

Supply current (typ) (µA)

0.003

Bandwidth (MHz)

500

Operating temperature range (°C)

-40 to 125

Features

1.8-V compatible control inputs, Break-before-make, Fail-safe logic, Injection current control, Short-to-battery protection

Input/output continuous current (max) (A)

0.1

Rating

Catalog

Drain supply voltage (max) (V)

5.5

Supply voltage (max) (V)

5.5

Package

SOT-23-THN (DYY)-16-8.4 mm² 4.2 x 2

Features

  • Back-powering protection
    • No ESD diode path to VDD
  • Wide supply range: 1.62V to 5.5V
  • Low ON-capacitance
  • Bidirectional signal path
  • Optimized for high-impedance loads
  • Rail-to-rail operation
  • 1.8V logic compatible
  • Fail-safe logic
  • Break-before-make switching
  • Short-to-battery protection for ON and OFF channels
  • Functional safety-capable
  • TMUX1308A – pin compatible with:
    • Industry standard 4051, 4851 and 1308 multiplexers
  • TMUX1309A – pin compatible with:
    • Industry standard 4052, 4852 and 1309 multiplexers
  • Back-powering protection
    • No ESD diode path to VDD
  • Wide supply range: 1.62V to 5.5V
  • Low ON-capacitance
  • Bidirectional signal path
  • Optimized for high-impedance loads
  • Rail-to-rail operation
  • 1.8V logic compatible
  • Fail-safe logic
  • Break-before-make switching
  • Short-to-battery protection for ON and OFF channels
  • Functional safety-capable
  • TMUX1308A – pin compatible with:
    • Industry standard 4051, 4851 and 1308 multiplexers
  • TMUX1309A – pin compatible with:
    • Industry standard 4052, 4852 and 1309 multiplexers

Description

The TMUX1308A and TMUX1309A are general purpose complementary metal-oxide semiconductor (CMOS) multiplexers (MUX). The TMUX1308A is an 8:1, 1-channel (single-ended) mux, while the TMUX1309A is a 4:1, 2-channel (differential) mux. The devices support bidirectional analog and digital signals on the source (Sx) and drain (Dx) pins ranging from GND to VDD.

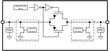
The TMUX13xxA devices have an internal injection current control feature, which eliminates the need for external diode and resistor networks (typically used to protect the switch and keep the input signals within the supply voltage.) The internal injection current control circuitry allows signals on disabled or enabled signal paths to exceed the supply voltage. Disabled channels with voltages above VDD are prevented from affecting the signal of the enabled signal path. The TMUX13xxA devices do not have an internal diode path to the supply pin, which eliminates the risk of damaging components connected to the supply pin or providing unintended power to the supply rail.

All logic inputs have 1.8V logic compatible thresholds, allowing for both TTL and CMOS logic compatibility when operating with a valid supply voltage. Fail-Safe Logic circuitry allows voltages on the control pins to be applied before the supply pin, protecting the device from potential damage.

The TMUX1308A and TMUX1309A are general purpose complementary metal-oxide semiconductor (CMOS) multiplexers (MUX). The TMUX1308A is an 8:1, 1-channel (single-ended) mux, while the TMUX1309A is a 4:1, 2-channel (differential) mux. The devices support bidirectional analog and digital signals on the source (Sx) and drain (Dx) pins ranging from GND to VDD.

The TMUX13xxA devices have an internal injection current control feature, which eliminates the need for external diode and resistor networks (typically used to protect the switch and keep the input signals within the supply voltage.) The internal injection current control circuitry allows signals on disabled or enabled signal paths to exceed the supply voltage. Disabled channels with voltages above VDD are prevented from affecting the signal of the enabled signal path. The TMUX13xxA devices do not have an internal diode path to the supply pin, which eliminates the risk of damaging components connected to the supply pin or providing unintended power to the supply rail.

All logic inputs have 1.8V logic compatible thresholds, allowing for both TTL and CMOS logic compatibility when operating with a valid supply voltage. Fail-Safe Logic circuitry allows voltages on the control pins to be applied before the supply pin, protecting the device from potential damage.

Subscribe to Welllinkchips !
Your Name
* Email
Submit a request