0
SN65ALS180
  • SN65ALS180
  • SN65ALS180
  • SN65ALS180
  • SN65ALS180

SN65ALS180

ACTIVE

Differential Driver And Receiver Pair

Texas Instruments SN65ALS180 Product Info

1 April 2026 0

Parameters

Number of receivers

1

Number of transmitters

1

Duplex

Full

Supply voltage (nom) (V)

5

Signaling rate (max) (Mbps)

25

IEC 61000-4-2 contact (±V)

None

Fault protection (V)

-10 to 15

Common-mode range (V)

-7 to 12

Number of nodes

32

Isolated

No

Supply current (max) (µA)

30000

Rating

Catalog

Operating temperature range (°C)

-40 to 85

Package

SOIC (D)-14-51.9 mm² 8.65 x 6

Features

  • Meet or exceed the requirements of TIA/EIA-422-B, TIA/EIA-485-A(1) and ITU recommendation V.11
  • High-speed advanced low-power Schottky circuitry
  • Designed for 25-Mbaud operation in both serial and parallel applications
  • Low skew between devices: 6 ns max
  • Low supply-current requirements: 30 mA max
  • Individual driver and receiver I/O pins with dual VCC and dual GND
  • Wide positive and negative input/output bus voltage ranges
  • Driver output capacity: ±60 mA
  • Thermal shutdown protection
  • Driver positive- and negative-current limiting
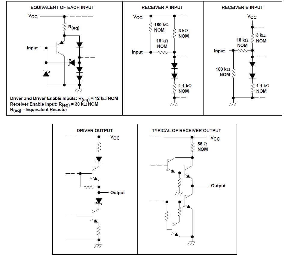
  • Receiver input impedance: 12 kΩ min
  • Receiver input sensitivity: ±200 mV max
  • Receiver input hysteresis: 60 mV typ
  • Operate from a single 5-V supply
  • Glitch-free power-up and power-down protection

(1)Thes edevices meet or exceed the requirements of TIA/EIA-485-A, except for the Generator Contention Test (para. 3.4.2) and the Generator Current Limit (para. 3.4.3). The applied test voltage ranges are –6 V to 8 V for the SN75ALS180 and –4 V to 8 V for the SN65ALS180.

  • Meet or exceed the requirements of TIA/EIA-422-B, TIA/EIA-485-A(1) and ITU recommendation V.11
  • High-speed advanced low-power Schottky circuitry
  • Designed for 25-Mbaud operation in both serial and parallel applications
  • Low skew between devices: 6 ns max
  • Low supply-current requirements: 30 mA max
  • Individual driver and receiver I/O pins with dual VCC and dual GND
  • Wide positive and negative input/output bus voltage ranges
  • Driver output capacity: ±60 mA
  • Thermal shutdown protection
  • Driver positive- and negative-current limiting
  • Receiver input impedance: 12 kΩ min
  • Receiver input sensitivity: ±200 mV max
  • Receiver input hysteresis: 60 mV typ
  • Operate from a single 5-V supply
  • Glitch-free power-up and power-down protection

(1)Thes edevices meet or exceed the requirements of TIA/EIA-485-A, except for the Generator Contention Test (para. 3.4.2) and the Generator Current Limit (para. 3.4.3). The applied test voltage ranges are –6 V to 8 V for the SN75ALS180 and –4 V to 8 V for the SN65ALS180.

Description

The SN65ALS180 and SN75ALS180 differential driver and receiver pairs are integrated circuits designed for bidirectional data communication on multipoint bus-transmission lines. The devices are designed for balanced transmission lines and meet TIA/EIA-422-B, TIA/EIA-485-A, and ITU Recommendation V.11.

The SN65ALS180 and SN75ALS180 combine a 3-state differential line driver and a differential input line receiver, both of which operate from a single 5-V power supply. The driver and receiver have active-high and active-low enables, respectively, that can be connected together externally to function as a direction control. The driver differential outputs and the receiver differential inputs are connected to separate terminals for greater flexibility and are designed to offer minimum loading to the bus when the driver is disabled or VCC = 0.

These ports feature wide positive and negative common-mode voltage ranges, making the device an excellent choice for party-line applications.

The SN65ALS180 and SN75ALS180 differential driver and receiver pairs are integrated circuits designed for bidirectional data communication on multipoint bus-transmission lines. The devices are designed for balanced transmission lines and meet TIA/EIA-422-B, TIA/EIA-485-A, and ITU Recommendation V.11.

The SN65ALS180 and SN75ALS180 combine a 3-state differential line driver and a differential input line receiver, both of which operate from a single 5-V power supply. The driver and receiver have active-high and active-low enables, respectively, that can be connected together externally to function as a direction control. The driver differential outputs and the receiver differential inputs are connected to separate terminals for greater flexibility and are designed to offer minimum loading to the bus when the driver is disabled or VCC = 0.

These ports feature wide positive and negative common-mode voltage ranges, making the device an excellent choice for party-line applications.

Subscribe to Welllinkchips !
Your Name
* Email
Submit a request